样本的二重性
设
样本具有{随机变量}的性质,{数}的性质
Q:
为什么样本具有二重性 (随机变量与数的性质)?
A: 随机变量:
数: 在确定之后
简单随机样本的要求
统计量有{二重性}(与样本相同的性质)
统计量的本质是{函数
观测值本质是{函数值
常见的统计量
样本均值
样本方差
统计量之间的独立性
一般来说统计量之间{不是}相互独立
Q: 为什么样本方差
系数是
A: 设真实的均值为
这里使用了
例如如果有 3 个数据点, 我们知道了
显然自由度为 2, 而不是 3
需要修改参数, 放大结果, 更贴近实际, 这个系数恰好就是
统计量与数字特征的关系
Q:
过程推导
A: 
样本的
样本的
| 分布 | 形式 | 自由度 | 特性 |
|---|---|---|---|
| {c1: | |||
| {c2: | 分布函数对称 | ||
| {c3: |
Q:
A:
自由度
Q: 什么时候使用卡方分布
A: 见到平方想卡方
三大分布, 概率密度函数的对称性
Q: 三大分布中,哪个分布的概率密度函数是对称的?
A: T分布
卡方分布的数字特征
卡方分布的可加性
随机变量
{
Q: 为什么
A:
分母
这里的
根据大数定律,当
当
因此
所以
{
Q: 为什么
A:
设
{
{
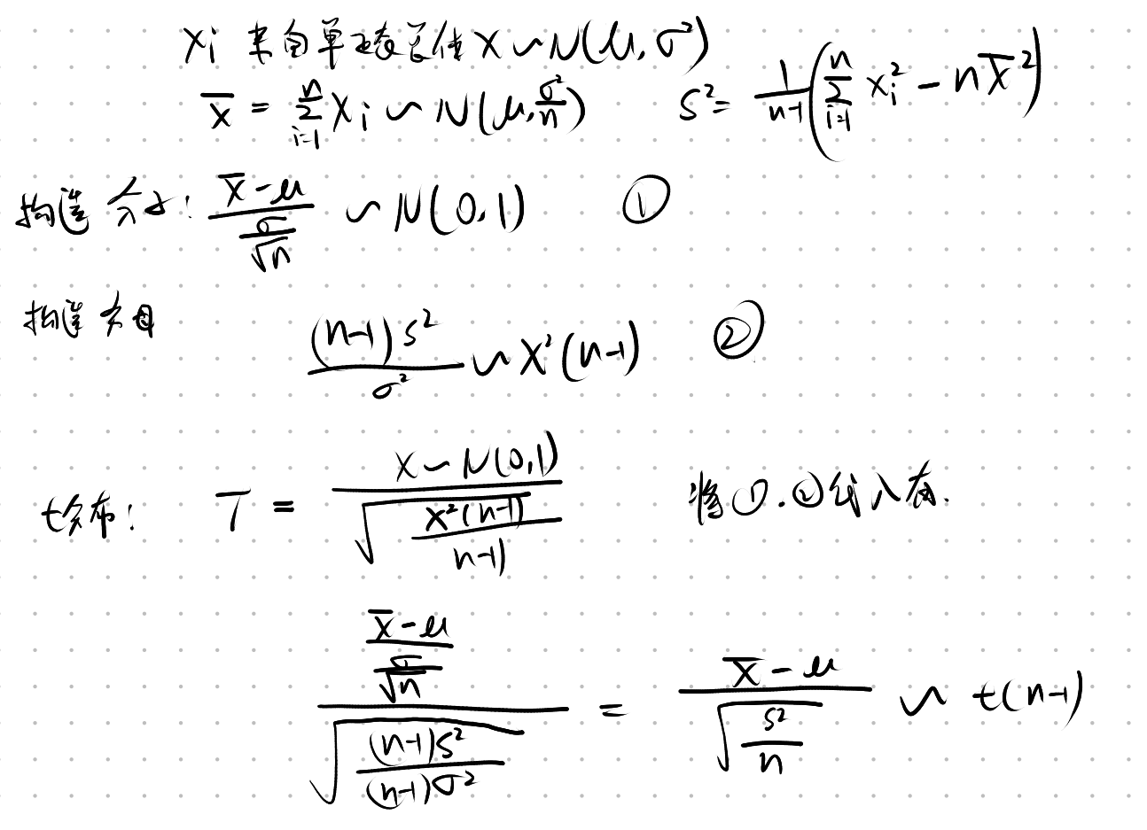
设
样本均值:
样本离差:
样本方差:
{c1:
{c2:
设
样本离差:{
设

Q: 对于来自正态总体的样本,
其样本均值
A: 相互独立
证明比较复杂按下不表
Q: 在什么情况下
统计量样本均值
A: 仅在原始数据来自正态分布时
哪些可以得到卡方分布
Q: 为什么
但是
A: 卡方分布要求独立同分布
表面上:
但本质上:通过数学变换(如正交变换),我们可以证明,这个整体的统计量

区间估计
待估参数为
待估参数为
待估参数为
待估参数为