特征值与特征向量
特征值与特征向量的定义
代数:{
幂零矩阵
Q:
A: 唯一非零特征值为 1, 剩下
秩一矩阵角度:
特征向量角度:
取一个与
若矩阵
Q: 如何从几何的角度理解特征值与特征向量的定义,
A: A 代表了一个线性变换矩阵
对向量
只是长度变为了原来的
Q: 对于
A:
得到一个关于
Q: 利用条件给定的特殊关系求 A 的特征值
例如
A:
解的集合为
则
即
为什么可以使用
先统一左右的格式
左边为矩阵向量乘法, 右边为向量数乘
将右边变为矩阵向量的乘法
- 若
则上式恒成立, 但是这个特征向量没有意义 - 若
代数的角度: 齐次方程有非零解的情况, 便是存在自由变量, 列不满秩, 等价于
几何的角度:所代表的线性变换能够将 压缩, 在当前的空间中,
设
则
对于
一个确定的特征值, 对应{一个或一个以上}线性无关的特征向量
一个确定的特征向量, 对应{一个特征值}
Q:
A: 齐次方程
线性无关的特征向量的个数为
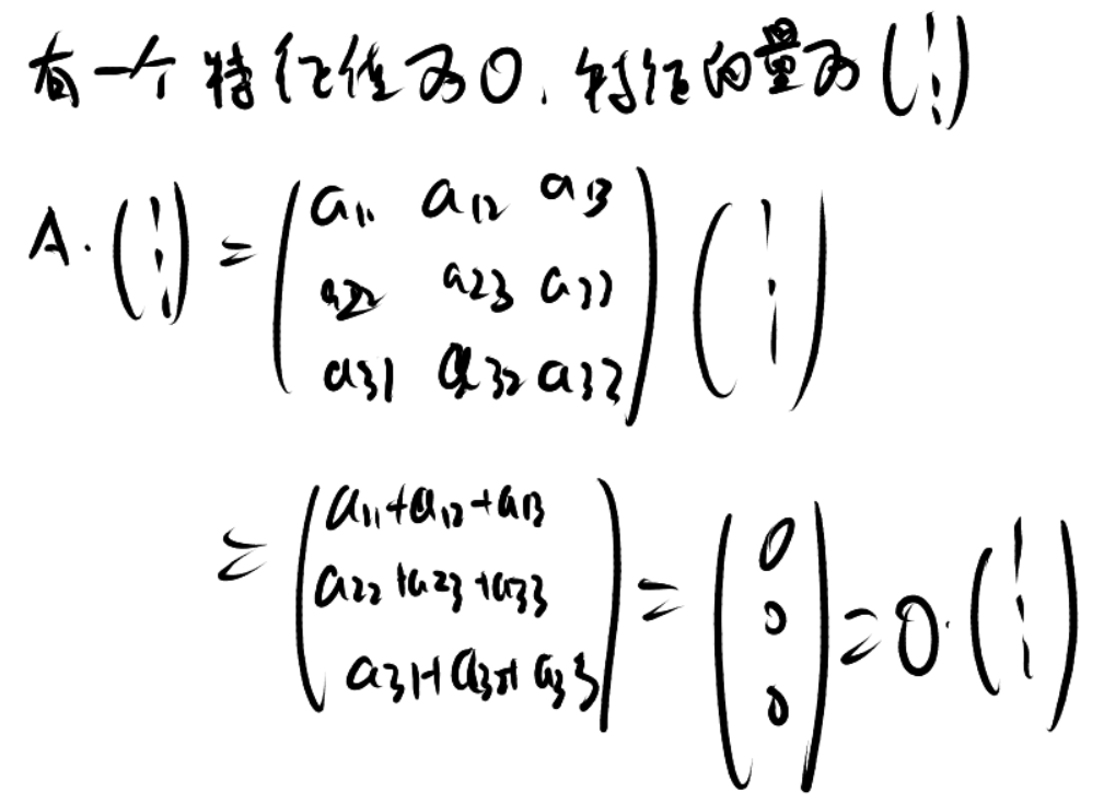
A 的各行元素之和均为 0, 则 A 存在一个特征值为{c1:0}, 其对应的特征向量为{c1:
Q: 为什么 A 的各行元素之和均为 0, 则 A 存在一个特征值为 0, 其对应的特征向量为
A: 
Q: 为什么不同特征值的特征向量之和不是特征向量? 用特征向量的定义证明
A: 
Q: 不同特征值的特征向量线性相关吗?
A: 线性无关
Q: 特征值
什么是代数重数, 什么是几何重数?
A: 代数重数:
几何重数:
如何使用 A 的特征值求得 A 的行列式?
| {c1: | {c2: | {c3: | {c4: | {c5: | |
| {c1: | {c2: | {c3: | {c4: 通常不为 | {c5: |
已知矩阵A特征值为
则哪些与A有关的矩阵具有相同的特征值?
{
{
已知矩阵A特征向量为
则哪些与A有关的矩阵具有相同的特征向量?
{
{
{
Q: 已知 A 的特征值为
A: 特征值
同理, 特征值
Q: 已知 A 的特征值为
求
A:
同理,
迹
矩阵 A 的迹与特征值的关系
tr (A)={
Q: 矩阵 A 的迹与特征值的关系
A: 不要求
任意矩阵都有这个特性
相似
矩阵相似的定义
A, B 均为 n 阶矩阵
若存在 n 阶可逆矩阵 P, 使得{
则称
Q: 若
A:行列式,秩,特征值,迹
|A|=|B|
r(A)=r(B)
A特=B特
tr(A)=tr(B)
相似的传递性
若
Q: 什么是相似的感染性
A: 若
对角化
Q: 什么是矩阵的对角化?
A: 对于矩阵
使得
Q: 对于
A: 这个结论对于可对角化矩阵是成立的
对于其他类型矩阵不成立
R (A) 与非零特征值的个数关系
{c2: A 可对角化}:{c1: r (A) = 非零特征值的个数}
{c2: A 不可对角化}:{c1: r (A) ≥ 非零特征值的个数}
相似对角化
相似对角化的定义
A 为 n 阶矩阵,
若存在 n 阶可逆矩阵 P, 使得{
则称 A 可相似对角化
Q:
A:
Q: n 阶矩阵 A 可以相似对角化的第一充要条件
A: 有 n 个线性无关的特征向量
Q: n 阶矩阵 A 可以相似对角化的第二充要条件
A: k 重特征值有 k 个特征向量 (其实就是有 n 个线性无关的特征向量)
若 A, B 均可相似对角化, 则 A 与 B 相似的充要条件是:{A 与 B 有相同的特征值}
Q: 实对称矩阵可以相似对角化吗?
A: 是的
实对称矩阵不仅可以相似对角化, 还可以正交相似对角化
若 A 为实对称矩阵, 则 r (A)={非零特征值的个数}
秩一矩阵
上三角或者下三角矩阵可以相似对角化吗?
不一定
实对称矩阵
Q: 什么样的矩阵是实对称矩阵?
A: 它是一个方阵 (Square Matrix): 即矩阵的行数和列数相等.
所有元素都是实数 (Real Numbers): 矩阵中不包含复数.
矩阵等于其自身的转置 (
若
则
实对称矩阵的性质
- 不同特征值的特征向量{正交}
- K 重特征值有{k}个线性无关的特征向量
- 一定可以{正交}相似对角化
对于 n 阶实矩阵 A
{n 个两两正交}的特征向量⇐>A 为{实对称}矩阵
Q: 什么是实对称矩阵 A 的正交相似对角化?
A: 存在一个正交矩阵 Q, 使得
Q: 对于矩阵
A:
如果 A 是一个实对称矩阵,那么哪些矩阵也是实对称矩阵?
{
你好世界
对于实对称矩阵
{
实对称矩阵的分解定理
对于 n 阶实对称矩阵 A, 有特征值