什么是微分方程?
两个条件
- 方程
- 含有未知函数的导数 (微分)
微分方程的阶是?
微分方程中未知函数最高阶导数的阶数

什么是常微分方程?
未知函数为一元函数的微分方程

Q:
A: 右端函数
否则称其为
微分方程的解是{函数}
微分方程解的图形被称为积分曲线
判断是否为通解
若
通解与特解的关系
特解是特殊的通解
确定了通解中的独立常数, 就成为了特解
一阶微分方程
一阶常微分方程可求解的基本型
- 可分离变量
- 直接可分
- 换元可分
,其中常数 全都不为零. 其解法为令 , 则 , 代人原方程得
- 直接可分
- 齐次型微分方程
- 伯努利方程
一阶常微分方程可求解的基本型的特征
- 可分离变量
- 直接可分可以直接分离
- 换元可分存在
的形式
- 直接可分可以直接分离
- 齐次型微分方程有关
的函数 - 伯努利方程存在
的形式伯努利方程一般就考到 的程度, 看到有 的高次就可以尝试使用
一阶微分方程, 直接可分求解
Q: 一阶微分方程, 换元可分求解,
A: 其中常数
Q: 齐次型微分方程的解法
A: 换元法
令
于是原方程变为
形如
一阶线性微分方程式
推导
凑出一个求导得到左边的式子
和之前凑被积函数的思路差不多
为什么, 一阶线性微分方程通解公式中, 对
同号得正, 在通解方程中, 符号消去

Q: 伯努利方程形如
A:
Q: 伯努利方程求解
A: 
实际上也是个换元法
二阶微分方程
二阶常系数齐次线性微分方程, 用代数表示
二阶常系数齐次线性微分方程,线性无关解 (基本解组),通解之间的关系
通解与线性无关解 (基本解组) 的关系:
Q: 通解的特征方程从何而来?
A: 从
所以可以用
自然,
而这是一个一元二次方程, 自然会有两个解
解的情况根据
对应了三种不同的通解结果
Q: 求解二阶常系数线性齐次微分方程
A: 求解其特征方程
根据该二次方程根的不同情况,可以得到微分方程的通解.
对于特征方程
二阶常系数非齐次线性微分方程, 解的结构
若
设
若
Q: 若
如何求解
A: 在众多的某个解中寻找两个线性无关的解, 组成了齐次方程的基础解系
Q: 二阶常系数非齐次线性微分方程
A: 1. 使用特征方程求
2. 根据不同形式的
3.
设

即
设

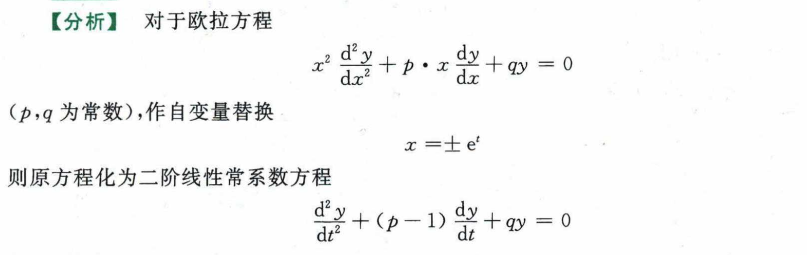
Q: 柯西-欧拉方程的形式为
A:
Q: 如何求解柯西-欧拉方程
A: 
可降阶微分方程
Q: 对于一定不含
A:
原方程变为一阶方程
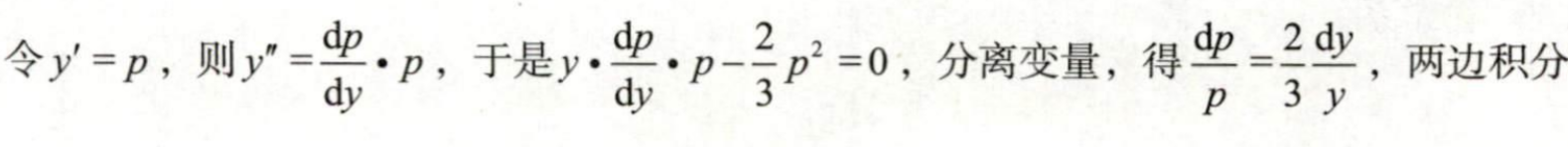
Q: 对于不含
A: 令
原方程变为
若求得其通解为
两边积分得

为什么二阶可降非线性微分方程不用二阶微分线性方程的通解求解?
二阶可降微分方程一般都是非线性的方程
自然不能使用线性方程的解法